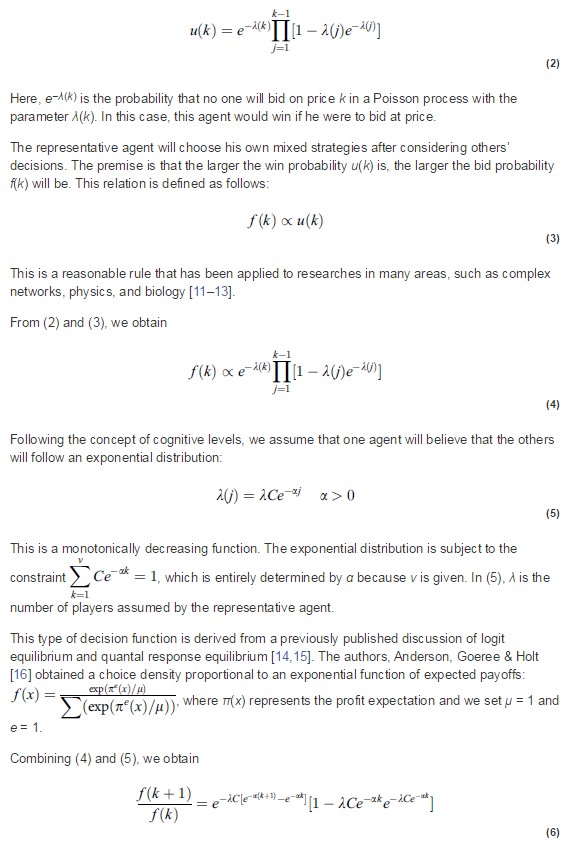
swag免费影片

[成果] Smarter than Others?

Author: 2015-04-15