swag免费影片

【成果】同步网络方法揭示热带环流减弱

来源: 作者: 发布时间:2021-06-08 浏览次数:

全球气候变化一直是人们十分关注的重大科学问题,它可能会导致全球各地极端天气频发,如2018年印度发生了百年一遇的洪灾,2019年美国的大寒潮,以及澳大利亚持续长达5个月的森林大火等,这些都是由极端天气引起的,而极端天气可能由全球气候变化带来。极端天气的成因与大气运动模式密切相关,以往研究发现全球气候变化会使大气运动模式发生改变,例如近两年备受关注的热带环流改变。然而,热带环流到底是增强还是减弱,学术界还存在很大的争议,热带环流所带来的影响也尚不清楚。通过分析不同地区间极端天气的同步关系,可一定程度反映包括热带环流在内大气运动模式的强度,对不同区域的极端天气预测也至关重要。

最近,以swag免费影片 硕士研究生耿子衿为第一作者,swag免费影片 陈晓松教授和昆明理工大学张永文副教授作为通讯作者,swag免费影片 樊京芳教授和中国气象局陆波博士等共同参与完成了一篇题为“Network-synchronization analysis reveals the weakening tropical circulations”探究热带环流减弱的文章,已于5月9日被地学领域知名期刊《Geophysical Research Letters》接受发表,文章链接为//doi.org/10.1029/2021GL093582。文章通过再分析数据构建极端位势高度的同步网络,并研究该网络的时间演化,进一步证实热带环流正在减弱,并定性分析了热带不同区域的同步强度受全球气候变化的影响。

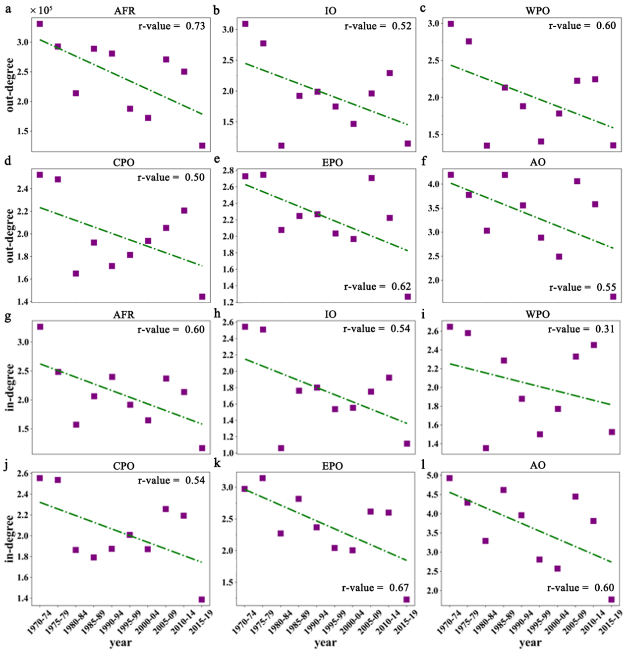
在该论文中,作者基于全球10512个观测格点的500hpa位势高度分别建立了两种不同类型的正、反同步网络,并发现它们不一样的特征:正同步网络主要分布在热带地区,有向度分布是自东向西的,而反同步网络主要分布在南北半球的中纬度地区,有向度分布是自西向东的(图1所示);正同步网络边的距离分布呈幂律(power-law)衰减,该同步关系主要是由热带环流造成的,而反同步网络边的距离分布在3000公里处有一个峰值,恰好与Rossby波的半波长相一致(图2所示)。基于1970至2019共50年的数据,每5年分别建立正同步网络,得到热带地区的出、入度,可以发现热带地区的出、入度在不断减小(图3所示),这说明热带环流正在减弱。为进一步分析热带不同区域环流减弱是否有差别,热带地区被划分为非洲、印度洋、西太平洋、中太平洋、东太平洋和大西洋6个区域,并分别计算这6个区域50年间出、入度的年代际变化(图4所示)。可以发现非洲和大西洋的环流减弱效应最为显著。

论文通过同步网络方法发现了热带不同区域极端天气的同步正在减弱,从而说明热带环流正在减弱,且不同区域的减弱效应有所差别。研究结果也暗示,由于热带环流的减弱,不同地区极端天气的发生会变得彼此相互独立,从而更加无规律。随着全球气候变化,极端天气可能将更加难以预测。

这项工作完成者们所在的研究小组多年来一直从事统计物理与复杂系统的研究,近年来特别关注地球系统的大尺度及全球性气候现象,已完成了复杂网络与气候变化的一系列交叉研究.

此工作得到了中国科swag免费影片 前沿科学重点研究项目(批准号:QYZD-SSW-SYS019)的资助。


 

图1.网络加权度分布图

(a)和(b)分别为正同步网络的加权出、入度分布,(c)和(d)分别为反同步网络的加权出、入度分布,(e)和(f)分别为正、反同步的加权有向度分布.


 

图2.网络连边的统计性质

(a)为正、反同步网络中同步事件时间间隔的概率密度分布,(b)为同步地点间距离的概率密度分布.


图3.热带地区总年代际变化


图4.热带地区分区域年代际变化



作者:耿子衿

编辑:王梦琦

审核:陈晓松