吉布斯系综理论是现代统计物理的基础,对于能量函数已知的平衡态系统,吉布斯给出了三种不同热力学条件下的微观态概率分布,从而可以计算这些系统的配分函数和热力学量。对于系统集体行为发生定性改变的相变与临界现象,关键物理量是朗道提出的序参量。但是,除了少数系统的序参量能够事先确立以外,大量复杂系统的序参量实际很难精准确定,这给复杂系统相变与临界现象的研究带来了极大挑战。当前,人们亟待研究各类复杂系统的相变与临界现象。如果沿着传统的研究路径,就得同时面临系统能量函数、微观态概率分布和序参量这三个方面的挑战,须另辟蹊径。
最近,swag免费影片 陈晓松教授与其合作者们另辟蹊径,提出了统计系综的本征微观态方法。基于系统的实验观测或者计算模拟,可获取系统个体状态的时间序列、定义系统的微观态和构建系统的统计系综。采用本征微观态方法,微观态看作本征微观态的线性叠加,其本征值平方表征该本征微观态的概率,系综由本征微观态和其本征值描述。与占总数目有限比例的玻色气体处于能量最低态时发生玻色-爱因斯坦凝聚类似,有限本征值预示着本征微观态的凝聚,系统涌现由本征微观态描述的相及发生相变,序参量为对应的本征值。本征微观态方法已经成功地被应用于不同维数伊辛模型的平衡态相变、群体运动Vicsek模型的非平衡相变,以及地球表面温度、大气臭氧分布与演化和中国股市价格波动等复杂系统。威尔逊1971年提出的临界现象重整化群理论,基于卡丹诺夫重整化群变换下哈密尔顿量的非平庸不动点及其附近的渐近行为,可用于研究哈密尔顿量已知系统的临界现象。该文提出的本征微观态重整化群理论,研究卡丹诺夫重整化群变换下本征微观态的非平庸不动点,从而可统一地处理广泛的平衡和非平衡复杂系统临界现象。
在本文中,作者利用了本征微观态理论不需要提前预知系统哈密顿量具体形式的优点,将重整化群思想引入到了本征微观态理论中。作者研究了不同维度的伊辛模型在经过卡丹诺夫块变换之后,系统本征微观态的权重,即本征值,在变换前后的关系。发现系统本征值经过变换后存在三个不动点,分别对应系统处于高温极限,低温极限以及临界点处(图1,图2)。文章给出了这三个不动点的标度形式,并围绕临界点处不动点的标度形式,给出了确定系统临界点以及计算临界指数的新方法(图3,图4)。
在还原论思想的指引下,人类对自然到社会系统中的个体已有了广泛深入的研究和了解。但在基于个体的性质推出复杂系统集体行为方面,进展相对有限。当前面临的许多巨大挑战,都涉及到复杂系统的集体行为,其中系统性质发生定性改变的相变与临界现象具有特别重要的意义。该文提出的本征微观态重整化群理论,规避了传统理论需知道系统的哈密尔顿量、微观态的概率分布和序参量的要求,能统一地研究平衡和非平衡复杂系统的临界行为。
该工作发表于Chinese Physics Letters (CPL)的Express Letters栏目,题为“Renormalization Group Theory of Eigen Microstates”(//dx.doi.org/10.1088/0256-307X/39/8/080503)。该工作得到了国家自然科学基金重点项目的经费支持。

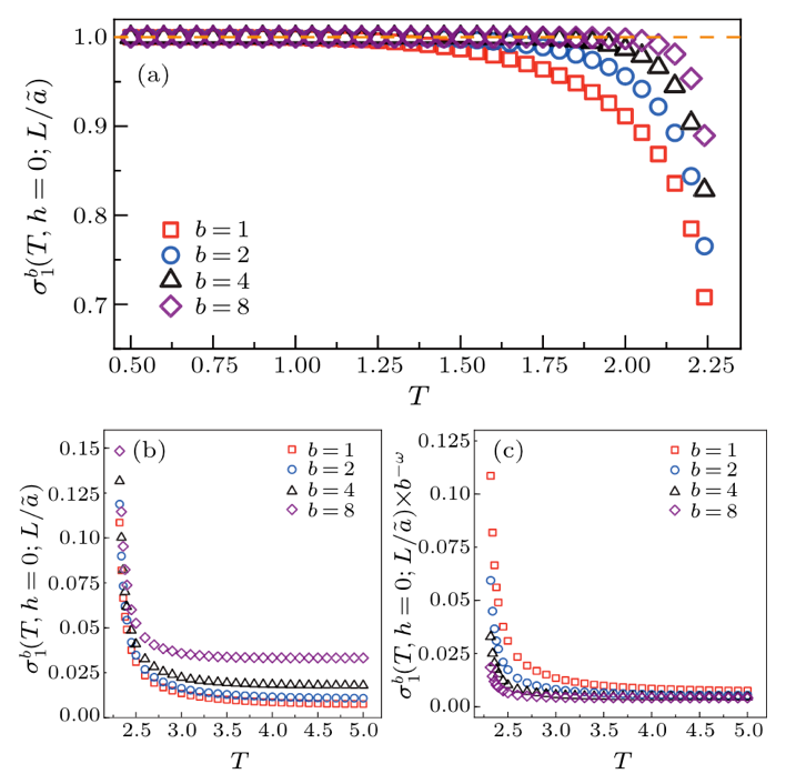
图一:二维伊辛系统在重整化变换后,第一大本征微观态权重(
)体现出的低温不动点(a)和高温不动点(b,c),以及其满足的标度形式

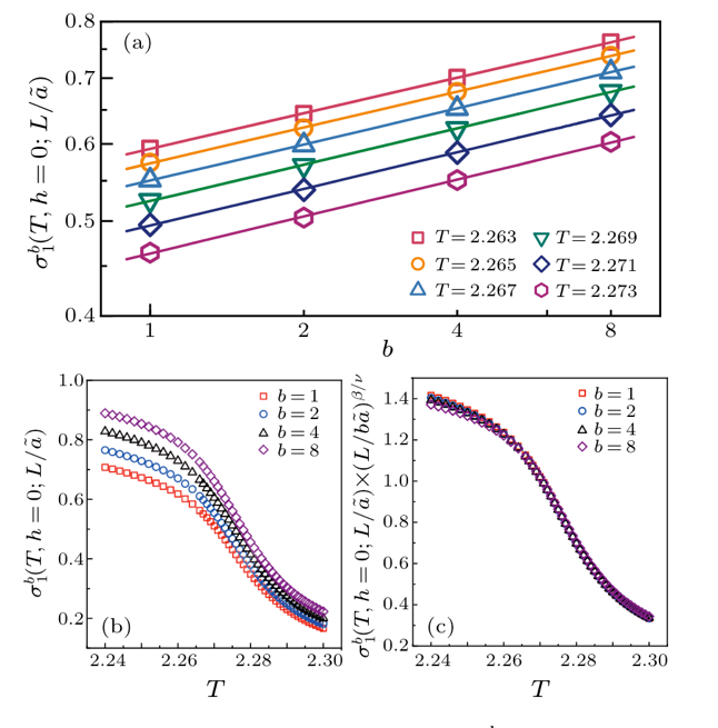
图二:二维伊辛系统在重整化变换后,第一大本征微观态权重(
)在临界点处为非平庸不动点,并满足标度关系。

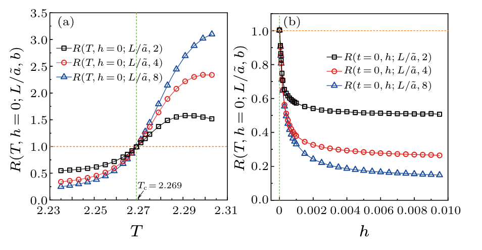
图三:对二维伊辛系统,通过确定重整化变换后的R函数的不动点,可以获得系统的临界温度(a)和临界外场强度(b)。

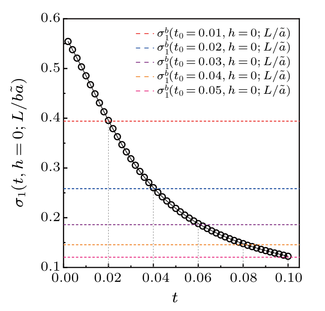
图四:通过构建重整化后的本征值与对应尺寸系统本征值的方程,获得系统的临界指数nu
供稿:陈晓松、刘腾
审核:王大辉
编辑:郝林青
![]()